您现在的位置是:生活百科网 > 生活百科 >
带通滤波器原理(带通滤波器原理图)
2022-05-16 15:36生活百科 人已围观
简介麻烦谁能告诉我带通滤波器的作用和原理啊?求采纳带通是让某一个范围的频率通过,滤除其余频率。如高通滤波器+低通滤波器可组成带通滤波器。它大体分为模拟带通滤波器和数字带...
麻烦谁能告诉我带通滤波器的作用和原理啊?
求采纳带通是让某一个范围的频率通过,滤除其余频率。如高通滤波器+低通滤波器可组成带通滤波器。它大体分为模拟带通滤波器和数字带通滤波器.
模拟带通滤波器一般是用电路元件(如电阻、电容、电感)来构成我们所需要的频率特性电路。模拟带通滤波器的原理是通过对电容、电阻和电感参数的配置,使得模拟滤波器对基波呈现很小的阻抗,而对谐波呈现很大的阻抗,这样当负载电流信号通过该模拟带通滤波器的时候就可以把基波信号提取出来。目前,有些有源滤波器利用模拟电路实现带通滤波器检测负载电流的基波分量,并且在实际中得到了应用。
但是,模拟带通滤波器也有一些自身的缺点。这是由于模拟滤波器的中心频率对电路元件(如电容,电阻,电感)的参数十分敏感,较难设计出合适的参数,而且电路元件的参数会随外界环境的干扰发生变化,这会导致中心频率的偏移,影响滤波结果的准确性。
数字带通滤波器就是用软件来实现上面的滤波过程,可以很好地克服模拟滤波器的缺点,数字带通滤波器的参数一旦确定,就不会发生变化,只要电网的波动频率在我们设计的范围之内,就可以比较好地提取出基波分量。数字滤波器根据其类型可以分为iir型和fir型。pir型只有零点,不容易像iir型那样取得比较好的通带与阻带特性.所以,在一般的设计中选用iir型。ilr型又可以分成butterworth型滤波器,chebyshevi型滤波器,chcbyshevⅱ型滤波器和椭圆型滤波器等。
麻烦谁能告诉我带通滤波器的作用和原理啊?
求采纳带通是让某一个范围的频率通过,滤除其余频率。如高通滤波器+低通滤波器可组成带通滤波器。它大体分为模拟带通滤波器和数字带通滤波器.
模拟带通滤波器一般是用电路元件(如电阻、电容、电感)来构成我们所需要的频率特性电路。模拟带通滤波器的原理是通过对电容、电阻和电感参数的配置,使得模拟滤波器对基波呈现很小的阻抗,而对谐波呈现很大的阻抗,这样当负载电流信号通过该模拟带通滤波器的时候就可以把基波信号提取出来。目前,有些有源滤波器利用模拟电路实现带通滤波器检测负载电流的基波分量,并且在实际中得到了应用。
但是,模拟带通滤波器也有一些自身的缺点。这是由于模拟滤波器的中心频率对电路元件(如电容,电阻,电感)的参数十分敏感,较难设计出合适的参数,而且电路元件的参数会随外界环境的干扰发生变化,这会导致中心频率的偏移,影响滤波结果的准确性。
数字带通滤波器就是用软件来实现上面的滤波过程,可以很好地克服模拟滤波器的缺点,数字带通滤波器的参数一旦确定,就不会发生变化,只要电网的波动频率在我们设计的范围之内,就可以比较好地提取出基波分量。数字滤波器根据其类型可以分为iir型和fir型。pir型只有零点,不容易像iir型那样取得比较好的通带与阻带特性.所以,在一般的设计中选用iir型。ilr型又可以分成butterworth型滤波器,chebyshevi型滤波器,chcbyshevⅱ型滤波器和椭圆型滤波器等。
定义
低通滤波器:允许低于一定值的低频信号无衰减地通过,高于一定值的信号按不同程度地被衰减、阻挡。
有源低通滤波器是由有源元件和一部分无源元件(电阻、电容、电感)共同组成的低通滤波器。有源元件指的是必须要有供电电源才能正常工作的元件,最常见的有源元件是运算放大器。
如何判断滤波器的阶数
一般来说,判断滤波器的阶数主要的方法就是数电路中电容电感的个数,几个就代表几阶滤波器。但是,在数电容电感个数前,要将电路中串并联的电容电感合为一计算。比如说,有3个电容并联,2个电感串联,则为1+1 = 2阶。
一阶低通滤波器
从该电路中,我们可以写出该电路的传递函数。传递函数指的是输出量的拉普拉斯变换和输入量的拉普拉斯变换之比。

s代表的是s域。s=a + jw (a是阻尼常数,对于纯粹的正弦波a为0,此处相当于s = jw)
既然得到了传递函数,那么我们可以对电路进行幅频分析,可以看到一阶低通滤波器的大概幅频特性曲线。幅频特性完美地诠释了为什么该电路称为低通滤波器!如下图,在一定的低频部分,增益没有衰减,而一旦频率到达截止频率,增益就会很明显地出现不同程度的衰减。

Bode图
通过计算可以算出一阶低通滤波器的截止频率Wc = 1/RC(一般截止频率用Wc表示),也称为-3dB截止频率。当放大倍数降为原来的 √2/2倍时,此时的频率就对应了-3dB截止频率。所以,利用该定义就可以计算出任何电路的截止频率。
二阶低通滤波器
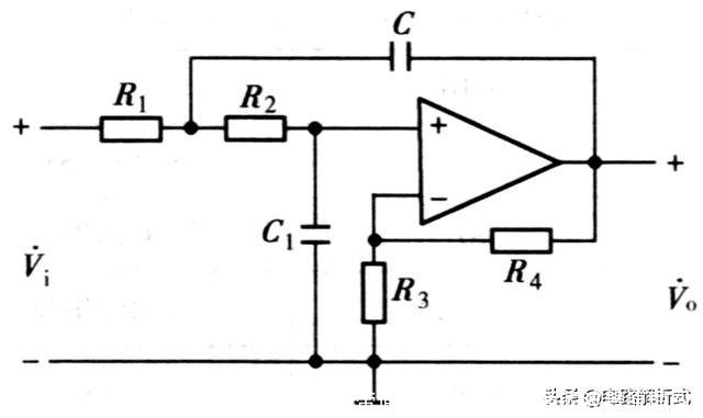
1、Sallen-Key结构:用于单位增益、高增益精度和低Q值的应用中。

Sallen-Key结构
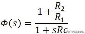
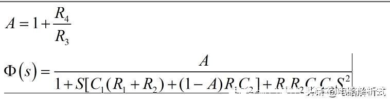
该电路图的传递函数:

推导公式
式中的A就是电路增益。

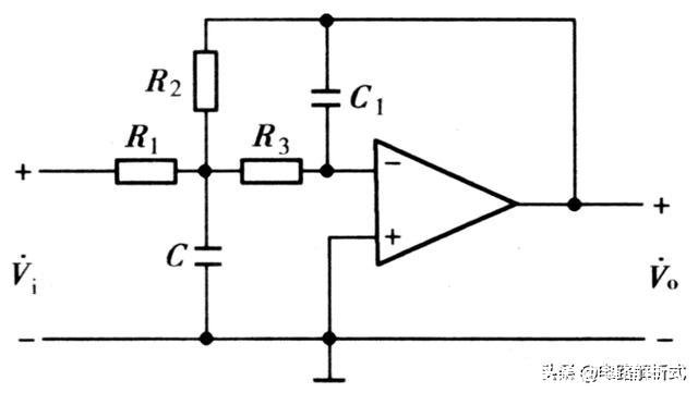
MFB结构
该电路图的传递函数:

一阶、二阶滤波器是组成高阶滤波器的基本模块。为什么需要二阶、高阶滤波器呢?因为阶数越高,相应的滤波效果更接近理想。
相关文章
- 2023北京本科普通批985院校投档线:清华685、北大683、武大653分
- 广东考生上华南理工大学难吗?
- 上海这3所大学2023考研复试分数线公布
- 最大相差178分!南京理工大学投档线集锦!最高681分,最低503分
- 2023湖北物理类投档线:武科大573、湖大563、江大536、武体506分
- 多少分能上南大?2023南京大学在苏录取数据盘点,这些途径可以走
- 2023山东高考,省内分数线最高的十所大学
- 国防科技大学录取分数线是多少?附国防科技大学毕业去向
- 郑州大学多少分能考上?2024才可以录取?附最低分数线
- 北京航空航天大学2023年录取分数线及省排名
- 哈尔滨工业大学(威海)、(深圳)校区2023年录取分数情况
- 2023广东本科投档线出炉!请看中大/华工/深大/华师/暨大等分数线
随机图文
拨云见雾(拨云见雾是什么意思)
拔云见雾是成语吗?拔云见雾是成语.拔云见雾一般是指拨云见日-即拨开乌云见到...
中国机场排名(中国机场排名前20名)
2021年全国机场吞吐量排名正式出炉,总的来说2021年各机场的位次变动较大,主...
独角兽手表怎么调时间(独角兽手表怎么调时间和指针)
在我把玩的各类EDC装备中,有很多青铜、黄铜的手电、战术笔。这类装备的一个...
山东淄博爆炸「山东淄博爆炸事故」
大家好,小编来为大家解答山东淄博爆炸这个问题,山东淄博爆炸事故很多人还...
什么事英语(什么事英语怎么说)
用心普及英语知识英语罐头本文是我的第381篇英语知识文章妈耶,这几天可把罐...
什么是共同基金(什么是共同基金投资法)
今日头条MSCI5月公布A股纳入名单,中小盘股未来也将纳入?4月11日,据第一财经...
工资流水账单怎么作假(offer工资流水账单怎么作假)
工资流水账单怎么作假看看真实的哈尔滨工资,数据不做假。说说你的工资水平...
牛肉白菜(牛肉白菜饺子馅的做法)
懒人美食――懒人们的美食!其实我这说的懒人,并不能算是真正的懒人!上班...
