您现在的位置是:生活百科网 > 生活百科 >
奇变偶不变符号看象限(奇变偶不变符号看象限怎么理解)
2022-05-16 15:51生活百科 人已围观
简介三角函数的诱导公式作用:针对形如kπ/2±α这样的角(±α加上π/2的k倍)的三角函数值化简为α的三角函数值。高中数学必修4第一章第3节奇变:指的是当kπ/2是π/2的奇数倍时,化简后,...
三角函数的诱导公式作用:
针对形如kπ/2±α这样的角(±α加上π/2的k倍)的三角函数值化简为α的三角函数值。
高中数学必修4第一章第3节
奇变:指的是当kπ/2是π/2的奇数倍时,化简后,正弦变为余弦,余弦变为正弦。
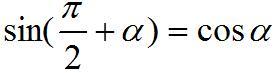
例如:下图中π/2是π/2的1倍,是奇数倍,π/2+α的正弦就化简为α的余弦,就是正弦变余弦

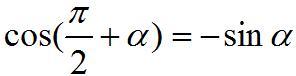
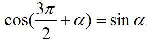
再例如下图是余弦变正弦

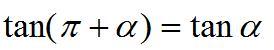
偶不变:指的是当kπ/2是π/2的偶数倍时,化简后,正弦还为正弦,余弦还是余弦,正切还为正切。
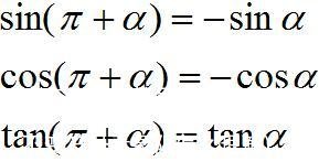
例如:下图中π是π/2的2倍,是偶数倍,π+α的正弦就化简为还是α的正弦,π+α的余弦就化简为还是α的余弦,π+α的正切就化简为还是α的正切

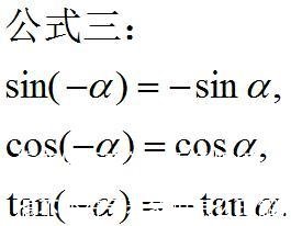
再说符号看象限:把α看做锐角时的,kπ/2±α的三角函数值的正负号添加到化简后的值上。
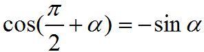
例如下图,把α看做锐角时,π/2+α就是第二象限的角,它的余弦值为负,然后把这个负号加到化简后的sinα前面(判断三角值在四个象限内的正负号,可用“一全正,二正弦,三正切,四余弦”)

在例如下图中,把α看做锐角时,π+α就是第三象限的角,它的正切值为正,所以把这个正号加到化简后的tanα前面,这个正号可以省略不写

高中三角函数诱导公式有六组,只需记住“奇变偶不变,符号看象限。”这个十字口诀,就不用一个一个记了,就可以用这个口诀记住全部公式






这个六个公式中没有出现的,例如这种形式

也可以直接用这个十字口诀,也可以先加2π,把-π+α变为π+α,在用诱导公式
再例如

-π/2是π/2的1倍,是奇数倍,所有化简后正弦变为余弦,把α看做是锐角时,-π/2+α在第四象限,第四象限正弦为负值,所以化简后带个符号
再例如

3π/2是π/2的3倍,是奇数倍,所有化简后余弦变为正弦,把α看做是锐角时,3π/2+α在第四象限,第四象限余弦为正值,所以化简后的sinα前为正号。
上一篇:闪付怎么用(手机闪付怎么用)
相关文章
- 2023北京本科普通批985院校投档线:清华685、北大683、武大653分
- 广东考生上华南理工大学难吗?
- 上海这3所大学2023考研复试分数线公布
- 最大相差178分!南京理工大学投档线集锦!最高681分,最低503分
- 2023湖北物理类投档线:武科大573、湖大563、江大536、武体506分
- 多少分能上南大?2023南京大学在苏录取数据盘点,这些途径可以走
- 2023山东高考,省内分数线最高的十所大学
- 国防科技大学录取分数线是多少?附国防科技大学毕业去向
- 郑州大学多少分能考上?2024才可以录取?附最低分数线
- 北京航空航天大学2023年录取分数线及省排名
- 哈尔滨工业大学(威海)、(深圳)校区2023年录取分数情况
- 2023广东本科投档线出炉!请看中大/华工/深大/华师/暨大等分数线
随机图文
国内羊奶粉十大排行榜(国产的羊奶粉哪个牌子的好啊)
选奶粉一直是妈妈们的痛点,不仅纠结于牛羊品类,而且纠结于营养偏向。为了...
公开招聘650名!沈阳市公安局2023年度招聘警务辅助人员公告!
为满足公安工作需要,沈阳市公安局面向社会公开招聘警务辅助人员650名,其中...
漂白剂成分(衣服漂白剂成分)
漂白粉的有效成分是什么化学品中文名称:次氯酸钙化学品英文名称:calciumh...
信用不好怎么贷款「信用不好怎么贷款app」
大家好,今天来为大家解答信用不好怎么贷款这个问题的一些问题点,包括信用...
电脑显示屏不亮但是主机已开机(电脑显示屏不亮但是主机已开机显示无信号)
电脑显示屏不亮但是主机已开机哎,干电脑这么多年,慢慢发现越是墨迹的客户...
上海交通大学世界排名(上海交通大学世界排名多少位)
2020年6月10日,QS世界大学排名网发布了“2021QS世界大学排名”(QuacquarelliSymonds,...
修仙小说排行榜前十名(最火修仙小说排行榜前十名)
修仙小说排行榜前十名十部经典小说最近在书旗小说看了好多小说,都是免费阅...
抄写作文三年级(抄写作文三年级一百字)
抄写作文三年级小学生作文,老师批阅后哭笑不得:抄写100遍,爸爸看完,直接...