您现在的位置是:生活百科网 > 生活百科 >
高数是什么(高数是什么意思)
2022-05-11 17:43生活百科 人已围观
简介你听说过夹逼准则吗今天,超模君给大家介绍一个有名的定理——三明治定理(又叫夹逼准则)。说起这个定理,超模君立马回想起当年的高数课堂……“接下来我们来讲一讲夹逼准则...
你听说过
夹逼准则吗
今天,超模君给大家介绍一个有名的定理——三明治定理(又叫夹逼准则)。
说起这个定理,超模君立马回想起当年的高数课堂……

“接下来我们来讲一讲夹逼准则”,话音刚落,沉浸在睡梦中的同桌突然惊起,接下来如同多米诺骨牌那样,睡着的同学都醒来了。大家议论纷纷。
“什么?夹逼?我没听错吧!”男生们露出了史上最纯洁的笑容,女生们脸红耳赤,相信耳听为虚,眼见为实,可是她们看了看课本后,都希望眼见不一定为实。
好了,那么它是怎么来的呢?是谁给他起个这么污的名字?
超模君查了很多资料,关于它的历史不详,只知道它是最初由阿基米德(Archimedes)和欧多克索斯(Eudoxus)用来计算圆周率π,后来经高斯发展成现在的定理形式。除了夹逼准则和三明治定理外,它还有许多叫法:两边夹定理、夹挤定理、迫敛法、两个警察和醉囚犯定理等,其中夹挤定理应该是最接近它的英文名字了(Squeeze Theorem)。

通过圆内外接正多边形的方法求解π(夹逼准则的思想)
说了这么久,只知其名,不知其所云,我们不能做名词党啊!
夹逼准则,说简单点,就是高中的放缩法(变大变小)加上大学的极限思想。更通俗一点,假如你的哥哥(姐姐)和弟弟(妹妹)都是同一天出生的,那么证明你也是那天出生,并且你们是三胞胎。
我们先来看一个小栗子,再给出夹逼准则的定义。
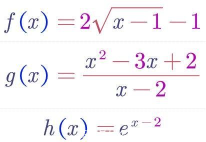
首先在图像上画出下面的三兄弟:

它们是有大小关系的,其中h是老大,g是老二,f最小,是老三。虽然三娃性格差异较大,但总有共同点,毕竟是同一个妈生(坐标轴)。

为了找出这个共同点,我们取一下在x=2这点处的极限(也就是让一个点无限靠近2所对应的函数值)。我们先来计算老大h(x)和老三f(x),由图像可以观察到,在x=2处的极限值就等于该点的函数值,我们马上可以知道:

于是我们得到了这个共同点,就是点F(2,1)。或许有人会问,怎么不用计算老二的极限值呢?这就引出了我们的主角——夹逼准则:

我们用西游记来总结一下上面的定理:
八戒有难,呼叫悟空和沙憎。
兄弟同心,斩除妖魔救八戒。
大意是:g(x)的极限求不出来(八戒有难),可以找到他的老大(孙悟空)和老三(沙憎),只要它们两个的极限算出来了(一起斩除妖魔),那么g(x)的极限自然出来了(八戒自然获救)。

虽然夹逼准则这个名字简单易记,但是它所解决的难题,都是那种面目狰狞、身材魁梧的变态题目,利用它在繁琐的表达式中迅速掌握对手的命门,化繁为简,以夺命剪刀脚紧紧将对手夹在中间,使其无力反抗,只好跪地投降!
我们来看一个栗子,大家可以动动脑筋思考一下:

二话不说,先写一个解字。第一眼看上去,无法直接代入,第二眼看上去,无法化简,第三眼,不看了,想打出题老师。别急,当遇到难题的时候,记得找老大和老三。首先这个和有n项,我们比较它们每一项的大小,可以发现:原来老大和老三就在身边!

老大在,仿佛看到了胜利的曙光。现在,我们把每一项都看作老大,然后每一项都看作老三,这样就形成了三兄弟关系链(本质上利用了放缩法)

兄弟同心,其利断金,极限神马的,放马过来吧!
对上式的左右两端取极限,得到都是1,由夹逼准则,立即推,原极限也为1。搞定。

下面两组图是使用夹逼准则的经典极限(令x趋于0),模友们看出来了吗?


上一篇:女儿控(女儿控的意思)
下一篇:气质的培养(怎么提升气质)
相关文章
- 2023北京本科普通批985院校投档线:清华685、北大683、武大653分
- 广东考生上华南理工大学难吗?
- 上海这3所大学2023考研复试分数线公布
- 最大相差178分!南京理工大学投档线集锦!最高681分,最低503分
- 2023湖北物理类投档线:武科大573、湖大563、江大536、武体506分
- 多少分能上南大?2023南京大学在苏录取数据盘点,这些途径可以走
- 2023山东高考,省内分数线最高的十所大学
- 国防科技大学录取分数线是多少?附国防科技大学毕业去向
- 郑州大学多少分能考上?2024才可以录取?附最低分数线
- 北京航空航天大学2023年录取分数线及省排名
- 哈尔滨工业大学(威海)、(深圳)校区2023年录取分数情况
- 2023广东本科投档线出炉!请看中大/华工/深大/华师/暨大等分数线
随机图文
搞笑僵尸电影(港剧搞笑僵尸电影)
感觉很多人都喜欢cult类电影,今天分享9部高质量爆笑丧尸片,血腥幽默一个都...
线上赚钱(线上赚钱的方法有哪些学生党)
我是小萌姐姐,自由撰稿人。点击右上角“关注”,为您分享自媒体变现和女性...
粉丝说割韭菜什么意思(网上说的割韭菜是什么意思)
粉丝说割韭菜什么意思失去本心,割粉丝韭菜,只会深陷万众深渊从喜剧新星到...
安兔兔手机性能排行榜(2020年安兔兔手机性能排行榜)
本篇文章给大家谈谈安兔兔手机性能排行榜,以及2020年安兔兔手机性能排行榜...
宁波万达广场(宁波万达广场鄞州店)
随着商业经济的不断发展,各地建立了一个接一个的大型商场,而逛商场也成了...
中国卖得最好的猪饲料(东北猪饲料哪家卖得最好)
中国卖得最好的猪饲料饲料回落,可以抄底补栏了吗?3月31日蛋价:昨日蛋市综...
犬夜叉大结局(犬夜叉大结局剧情)
犬夜叉大结局犬夜叉大结局还是挺圆满的,至少有情人终成眷属。虽然后来出了...
华为手机usb共享网络给电脑(华为手机无法usb共享网络)
华为手机usb共享网络给电脑数码产品对于现在的人们都不陌生啦,而且都是我们...
