您现在的位置是:生活百科网 > 生活百科 >
日食是怎么形成的(日食是怎么形成的实验方案)
2022-04-01 10:30生活百科 人已围观
简介日食是怎么形成的哪里可以优先看到日食,你知道吗?不卖关子先说答案:地球上的西部地区要比东部地区优先看到日食。为什么呢?简单来说就是;越早被月影笼罩的地方就会越早看...
日食是怎么形成的
哪里可以优先看到日食,你知道吗?不卖关子先说答案:地球上的西部地区要比东部地区优先看到日食。
为什么呢?简单来说就是;越早被月影笼罩的地方就会越早看到日食。
1.首先我们先来了解下,日食是如何产生的。
每当月球运动到太阳和地球中间时,三者就会处在一条直线上。
这时月球就会挡住太阳射向地球的光,而在地球上处于月影笼罩中的人们,却只能看到太阳的一小部分或者全都看不到,这时我们熟知的日食就产生了。
2.那为什么西部要比东部早看到呢?简单来说;这取决于地球、太阳和月亮三者的相对位置和运动规律有有关。
因为月球绕地球的公转是从西向东的,导致月球影子扫过来的方向也是从西向东,所以地球上西部的地区就自然会优先看见日食了。
看到这,是不是了解了为什么喜欢拍日食的人,都在日食来临前,提前去了我国的西部地区,等待这一奇特景色呢!
天空是蓝色的是因为光的什么原理
3月13日12时,张朝阳的物理课第三十五期开播,搜狐创始人、董事局主席兼CEO张朝阳坐镇搜狐视频直播间,探讨电磁波与光的散射。
传统推导电磁波的方式是联立麦克斯韦方程组得到波动方程,而这节课张朝阳借鉴费曼的方法,利用运动电荷产生的电场公式推导运动电荷产生的电磁波,并分析了电磁波的各种性质。
此外,他还计算了电磁波被束缚电荷散射的强度,通过散射公式解释了天空是蓝色、日出与夕阳是红色的原因,并进一步分析了光被云朵散射与被气体散射的不同,给出了云朵是白色的深刻的物理解释。

运动电荷辐射电磁波 衰减快慢分离主要项
张朝阳在直播间内介绍,电磁波的应用在生活中无处不在,对人类社会发展有着深刻的影响。
通过联立麦克斯韦方程组可以推导出电磁波的波动方程。
电磁波可以看作是由电流产生,而电流的本质是运动的电荷。
这节课将使用不同的办法来推导电磁波,其中,通过对运动电荷产生的电场分析导出电磁波,从这个角度更能理解其微观机理。

(利用运动电荷的电场推导电磁波)
张朝阳解释,一个带电量为q的运动电荷在某一点A产生的电磁场是:

由相对论可知,光速是最高速度,力的传递也不能超过光速。
所以点A在t时刻感受到的电场其实是t-r’/c时刻相距r’处的电荷传递过来的,于是仿照静止情况写下库伦力对应的电场就是第一项;但实际上带电粒子并不是静止的,所以类似泰勒展开一样,将推迟了的时间r’/c乘以库伦场的变化率,即把t-r’/c时刻的库伦场线性外推到t时刻,这样就写出了第二项,作为对第一项的修正。
进一步分析第二项随距离r’的依赖:

可以发现第二项与第一项库伦场一样,都与r’的平方成反比,衰减得很快。
但第三项就不一样了,将它随r’的衰减具体写出来:

这项只与r’的一次方成反比,因此在远处这一项是最主要的从而保留下来。
之后会进一步证明,若对所有方向进行积分,这项所代表的能流可以从电荷位置辐射到无穷远,也就是我们所寻找的电磁波。
具体把辐射电场写出来就是:

可以看出,辐射电场与距离成反比,且其大小还与电荷在t-r’/c时刻的加速度有关。
电场方向垂直于电荷在t-r’/c时刻的位置与场点位置的连线,电磁波是横波而不是纵波。
另外若r’较大,例如在地球观察从太阳发出的光,推迟效应可能会非常明显。
张朝阳还提到,牛顿引力与电磁学中的库伦力有非常相似的结构,在考虑了相对论效应的电动力学中,电子的运动会辐射电磁波,类似的,运动的质量也可能辐射引力波。
束缚电荷散射电磁波 辐射强度依赖频率变
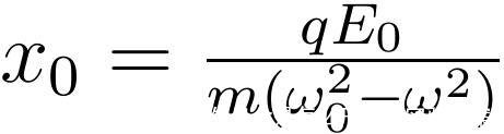
张朝阳接着讲解,考虑一束入射电场强度为E0、角频率为ω的电磁波,被带电量为q、质量为m的电荷散射的情况。
假设电荷受到的束缚力近似与偏离平衡位置的距离x成正比。
现分析入射电磁波施加在电荷上的电磁力,由牛顿第二定律可得:

根据指数函数的性质,猜测方程的解具有如下形式:

将其代入原方程中发现确实它是方程的解,且具体地有:

由此可知,电荷在做加速运动,那么它会辐射电磁波。
将入射电磁波的电场方向设为z方向,那么电荷也只在z轴上进行周期振动,以电荷振动中心为原点建立球坐标系,在球坐标(r,θ,φ)处的电磁波电场为:

由于电荷在原点附近做周期运动,偏离原点的最大距离就是振动的振幅。
若距离r远大于振幅,那么可近似电荷就处在原点处r’ ≈ r。
可以将辐射场表达式中的所有的r’近似替换成r:

另外由平均能流公式可求得此辐射场的能流方向沿r从原点指向外,平均能流大小为:

为了求得单位时间内总的辐射能,需要将所有方向的能流加起来。
由于能流的方向沿r朝向外,对S做球面积分后:

从I的表达式可以明显看出,不同半径r处的总能流是一样的,即能量可向外流动到无穷远处,这也与先前推导出来的辐射场表达式相互印证,它确实是电荷向无穷远处辐射能量的电磁场。
由能量守恒还可以知道,辐射出的电磁波的能量来自于入射电磁波,辐射频率也与入射频率相当。
也就是说,入射的电磁波被电荷系统散射了。
另外,还可以清楚地看出当入射电磁波的角频率ω接近电荷系统的固有角频率ω0时,电荷系统辐射的电磁波强度急剧上升,也意味着入射电磁波被严重散射,这就是共振效应。
蓝天红日白云朵,光的散射现象多
利用上面推导出的散射公式还可以初步解释天空为什么是蓝色的,以及日出和夕阳为什么是红色的。
张朝阳解释道,对于空气中的主要分子,例如氮气和氧气分子,其电子振荡的固有角频率ω0远大于可见光的角频率ω,因此前述公式可进一步化简为:

这说明在大气中,可见光的散射强度与其频率的四次方成正比,那么频率高的蓝光被散射的程度远远大于频率低的红光。
因此,从太阳射出来的蓝光被散射之后方向会明显改变,飞向四面八方。
人们看向天空时,虽然没有直接对着太阳看,但受到散射的蓝光可以偏离原来的光束方向到达人们的眼睛,这样天空看起来就是蓝色的。
但是日出和夕阳时,由于太阳光需要经过更多的大气才能射入人的眼睛,此时蓝光已被严重散射飞往其它地方了,主要剩下没有被严重散射的红光穿过厚厚的大气到达人所在的位置,这时太阳及其附近的天空看起来就是红色。
当然,以上只是物理方面的部分原因,对于具体细节,实际中还需要考虑人眼本身对不同颜色的光的感应特性。

(张朝阳解释云为何是白色的)
他还进一步解释了云为什么是白色的。
地球上的水蒸发形成水蒸气,一旦水蒸气体过饱和,就会以空气中的微尘为凝结核液化成小水滴或凝华成小冰晶,这些小颗粒漂浮在空中形成了云。
在空气中,分子之间的距离非常大,它们之间也没有固定的位置,所以它们的散射光强只是所有分子的单独叠加,即总散射光强只是单个分子的N倍。
然而在云朵中,小颗粒分子之间的距离远远小于光的波长,当光打到这些分子时,相邻分子的电子将一起运动,辐射出的光的电场强度就是它们的叠加,例如N个分子同相位振动,那么电场强度就是单个分子的N倍,对应的散射光强度为N^2倍。
可见云朵中颗粒的散射强度要比空气中分子的散射强得多,且由于红光的波长较长,那么它相对于蓝光能让更多的分子做同相位的振动,所以在云朵中红光受到的散射相比于蓝光明显增强了。
这样虽然单个分子对蓝光的散射更强,但总体看来,云对蓝光和红光的散射强度是差不多的,这就给出了云呈现白色的解释。
从以上分析可见,实际最终的散射效果,是与散射粒子的尺寸密切相关的。
对于空气而言,分子小而稀疏,主要为瑞利散射;对于云朵而言,小水滴的直径已与光的波长接近,适合用米氏散射。
对于实际中各种形态的复杂的体系,还需要考虑几何光学、衍射与干涉、非线性效应等更多的因素。
持续打造知识直播平台 搜狐视频吸引诸多科普播主入驻
截至目前,张朝阳的物理课已直播三十多期。
张朝阳1986年从清华大学物理系毕业,并于同年考取李政道奖学金赴美留学。
1993年底在美国麻省理工学院(MIT)获得博士学位,并继续在MIT从事博士后研究,1996年回国创业。
这也是阔别物理20多年后,张朝阳重拾物理。
从去年11月开启第一节物理直播课,他先是从经典物理学开始,科普了牛顿运动定律与能量动量守恒原理等;而后从经典物理的“两朵乌云”说起,向近现代物理过渡,探讨了由黑体辐射研究引出的维恩、瑞利-金斯、斯特潘、普朗克等系列公式。
此后的物理课程逐步进入量子力学领域,从基础的薛定谔方程、算符对易关系等理论内容,到无限深势阱、氢原子波函数,再到谐振子量子化、气体定容比热的温度阶梯等更加具体实用的案例。
内容丰富、覆盖广泛,理论公式由浅入深、繁简交融。
从之前的物理直播课可以看出,张朝阳的物理课的直播风格独树一帜:注重推导,通过一步一步详尽的数学计算,推导出相关的物理公式,把每个公式从头到尾拆解得十分清晰。
正如张朝阳所说,“在好奇心的驱使下,了解自然界的奥秘、了解我们在这个世界生存的道理”。
而了解道理最好的方法就是明白道理是怎么得来的,这也是张朝阳的物理课始终坚持用扎实的公式推导来讲授物理课程的原因。
该课程于每周周五、周日12时在搜狐视频直播。
同时,网友可以在搜狐视频“关注流”中搜索“张朝阳”,观看往期完整视频回放。
除了张朝阳的物理课外,在直播方面,搜狐视频正持续打造知识直播平台,陆续邀请各领域的头部播主入驻,进行科普知识直播。
包括北京交通大学理学院教师陈征博士的“奇趣的科学实验”;康奈尔大学物理化学博士包坤,化身“包大人玩科学”,教普通人看懂2021年诺贝尔奖;还有天体物理博士刘博洋科普“日全食是怎么产生的”;理论物理博士周思益也开通“弦论世界”直播课等。
未来还将有更多知识播主入驻搜狐视频,一起互动玩转科学。
为何天空是蓝的而云朵是白的?张朝阳的物理课探讨电磁波,天空是蓝色的是因为光的什么原理
日食和月食是难得一见的天文现象。
5月26日,年度最大满月“叠加”月全食形成的“超级红月亮”,为公众带来了一场难得的视觉盛宴。
6月10日,今年全球唯一一次日环食将接棒登场。
作为地球的卫星,月球绕地球运动。
作为太阳系的行星,地球又带着月球一起绕太阳运动。
日食和月食正是这两种运动所产生的结果。
当太阳、月球和地球排成一条直线,月球位于两者之间时就会发生日食,又称日蚀,俗称“天狗食日”。
日食又分全食、环食、偏食和全环食。
如果当天月球距离地球较远时,月球的视圆面较小而不能全部遮掩太阳,就会发生日环食。
“日环食发生时,月球只遮住了太阳的大部分中心部位,露出一圈环状的太阳边缘,好似一枚亮闪闪的‘金指环’。”天津市天文学会理事、天津科学技术馆天文科普专家宋媛媛说。
天文预报显示,此次日环食将于北京时间10日16时12分开始,至21时11分终止,历时近5个小时。
环食带从加拿大南部开始,经过加拿大北部、格陵兰岛西部、北冰洋,在俄罗斯东北部结束。
在北美洲北部、大西洋北部、欧洲(除极南部)、亚洲北部、北冰洋可以看到偏食。
“这次环食我国东部地区不可见,北方部分地区可以欣赏到带着偏食的日落,其中新疆北部、内蒙古、黑龙江北部的食分(太阳被月亮遮挡的程度)较大。
西部地区虽然食分较小,但日落更晚,可以看到偏食发生的全过程。”宋媛媛说,“日环食虽然壮观,但偏食也很精彩,届时,太阳缺了一个小角,真的就像传说中被天狗咬了一小口。” 那么,我国公众如何更好、更安全地观测偏食呢?宋媛媛提示说,一定不要用肉眼直接观测太阳,以防阳光灼伤眼睛。
如果进行目视观测,最好选用专业的“太阳观测镜”或用电焊工护目镜来观看,用简单的小孔成像法观测效果也很好,千万不要用日常的太阳镜或墨镜来看。
据了解,今年全球会上演两次日食现象,另外一次是12月4日的日全食,由于发生在南半球,我国全程不可见。
我国真正迎来观测条件不错的日食要等到2030年6月1日,届时内蒙古东北部、黑龙江北部将迎来一次日环食,其他绝大部分地区可见偏食。
(图片为资料图)
相关文章
- 2023北京本科普通批985院校投档线:清华685、北大683、武大653分
- 广东考生上华南理工大学难吗?
- 上海这3所大学2023考研复试分数线公布
- 最大相差178分!南京理工大学投档线集锦!最高681分,最低503分
- 2023湖北物理类投档线:武科大573、湖大563、江大536、武体506分
- 多少分能上南大?2023南京大学在苏录取数据盘点,这些途径可以走
- 2023山东高考,省内分数线最高的十所大学
- 国防科技大学录取分数线是多少?附国防科技大学毕业去向
- 郑州大学多少分能考上?2024才可以录取?附最低分数线
- 北京航空航天大学2023年录取分数线及省排名
- 哈尔滨工业大学(威海)、(深圳)校区2023年录取分数情况
- 2023广东本科投档线出炉!请看中大/华工/深大/华师/暨大等分数线
随机图文
公开招聘650名!沈阳市公安局2023年度招聘警务辅助人员公告!
为满足公安工作需要,沈阳市公安局面向社会公开招聘警务辅助人员650名,其中...
上海交通大学世界排名(上海交通大学世界排名多少位)
2020年6月10日,QS世界大学排名网发布了“2021QS世界大学排名”(QuacquarelliSymonds,...
漂白剂成分(衣服漂白剂成分)
漂白粉的有效成分是什么化学品中文名称:次氯酸钙化学品英文名称:calciumh...
信用不好怎么贷款「信用不好怎么贷款app」
大家好,今天来为大家解答信用不好怎么贷款这个问题的一些问题点,包括信用...
修仙小说排行榜前十名(最火修仙小说排行榜前十名)
修仙小说排行榜前十名十部经典小说最近在书旗小说看了好多小说,都是免费阅...
国内羊奶粉十大排行榜(国产的羊奶粉哪个牌子的好啊)
选奶粉一直是妈妈们的痛点,不仅纠结于牛羊品类,而且纠结于营养偏向。为了...
电脑显示屏不亮但是主机已开机(电脑显示屏不亮但是主机已开机显示无信号)
电脑显示屏不亮但是主机已开机哎,干电脑这么多年,慢慢发现越是墨迹的客户...
抄写作文三年级(抄写作文三年级一百字)
抄写作文三年级小学生作文,老师批阅后哭笑不得:抄写100遍,爸爸看完,直接...